
Milieu, duurzaamheid, ruimtelijke en gebiedsontwikkeling
Voortgang Peperstraat onttrekt zich (ook) aan zicht politiek
DZ vraagt maar weer eens naar stand van zaken Peperstraat
Krijgen voor de gemeentekas desastreuze debacles als de afgeblazen bouw van een gevangenis in het Vijfhoekpark en het Cultuurcluster (beide in een referendum door de bevolking weggestemd) en de nieuwbouw van de Toermalijn in Wormerveer (geklungel van hoog niveau) een vervolg in de Peperstraat? DZ is er niet zeker van dat de geplande stadsvernieuwing daar door kan gaan.
Democratisch Zaanstad vernam dat de planning opnieuw is uitgesteld en wil de achtergronden daarvan weten. Heeft het te maken met de gasleiding die lang over het hoofd werd gezien en toen opeens een behoorlijke sta in de weg bleek? Is daar al een oplossing voor gekomen? En waarom heeft de gemeenteraad al sinds 2 februari niets meer over de Peperstraat vernomen, noch van het college, noch van ontwikkelaar Opportunity Vastgoed?
Niet te volgen
Er moet al een duizelingwekkend aantal ambtelijke uren in de herontwikkeling van de Peperstraat zijn gaan zitten, net als bij de eerder genoemde gesneefde projecten. Maar één van de ingrijpendste projecten in het hart van Zaandam is voor burgers uiterst lastig te volgen – en dus ook voor fractievoorzitter Juliëtte Rot van DZ. Zij probeert nu via schriftelijke vragen antwoorden te krijgen. Is er bijvoorbeeld al een beslissing genomen over het behoud of de sloop van de Beatrixflat? Zo ja, hoe luidt die dan?
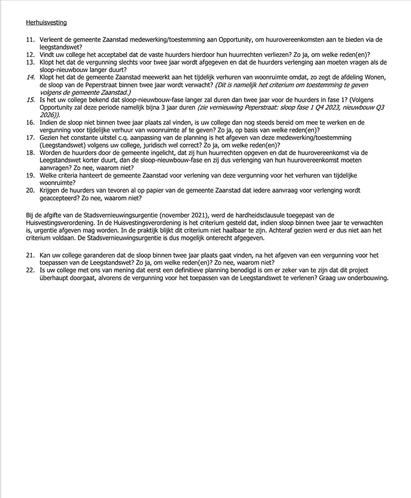
Herhuisvesting
Het meest heikele punt is uiteraard de herhuisvesting van de bewoners van de Peperstraat. Die roeren zich regelmatig op sociale media met als rode draad dat zij zich (nog steeds) niet gehoord voelen. En ook zij worden volgens Rot slecht op de hoogte gehouden over de voortgang van het project. Zij vraagt onder meer of de gemeente medewerking verleent aan Opportunity om huurovereenkomsten aan te bieden via de Leegstandswet (waardoor de rechten van vaste huurders vervallen) en waarom Zaanstad vasthoudt aan sloop binnen twee jaar terwijl Opportunity het inmiddels heeft over bijna drie jaar.
Onderzoek
En zo zijn er nog wel wat vragen over de juridische positie van de huurders, die overigens ook in de belangstelling staat in Den Haag. De Kinderombudsman en de Nationale Ombudsman doen landelijk onderzoek naar de rechtsbescherming van gezinnen die uit huis worden gezet omdat hun woning gesloopt of vernieuwd wordt. De twee instanties verwachten het onderzoek dit najaar af te ronden.
Bron: Zaanstad.nieuws.nl


Milieu, duurzaamheid, ruimtelijke en gebiedsontwikkeling
Aardgasvrij Krommenie: Veel Beloften, Weinig Concrete Plannen
Democratisch Zaanstad constateert een zorgwekkende kloof tussen ambitie en realiteit in de warmtetransitie van Krommenie. De techniek, planning én financiering zijn onduidelijk. Lees onze kritische analyse.

Namens Democratisch Zaanstad hebben wij de door de gemeente verstrekte informatie over de warmtetransitie in Krommenie bestudeerd. Na bijeenkomsten zowel van de Dorpsraad op 11 maart j.l. als de bijeenkomst van 12 november, die de gemeente zelf heeft georganiseerd, constateren wij een zorgwekkende kloof tussen ambitieuze vergezichten en de harde realiteit voor de inwoners van Krommenie. De belofte van een “routekaart” blijkt in de praktijk weinig meer dan een lege landkaart zonder ingetekende wegen.
Wat wél vaststaat: De Lasten
De gemeente is heel duidelijk over de verplichtingen. Nederland moet in 2050 van het aardgas af, en Krommenie is door de gemeenteraad aangewezen als startgebied. Dit is geen vrijblijvende pilot, zo benadrukken zij. Dit betekent dat de inwoners van Krommenie als eerste in Zaanstad voor een immense en kostbare operatie komen te staan. De druk en de verantwoordelijkheid worden hiermee direct bij de burger gelegd.
Wat níét vaststaat: De Ondersteuning
Op de cruciale vragen die bij elke burger leven, heeft de gemeente slechts vage antwoorden. Dit is wat er, door eigen toegeven, nog niet vaststaat:
1. De Techniek: Welke warmte-oplossing het wordt, is een volkomen open vraag. Alles lijkt nog mogelijk, van warmtenetten tot warmtepompen.
2. De Planning: Er is geen concrete tijdlijn. Welke buurt wanneer aan de beurt is, is een mysterie. De gemeente wijst naar afhankelijkheid van “andere partijen” zoals aannemers en netbeheerders.
3. De Financiën: Hoewel de gemeente benadrukt dat het voor iedereen betaalbaar moet blijven, ontbreekt elk concreet plan voor financiële ondersteuning op maat. Men verwijst naar algemene landelijke regelingen, maar de werkelijke kosten voor de individuele huiseigenaar blijven een beangstigende gok.
4. Het Tempo: Zelfs de manier van overstappen – stapsgewijs of in één keer – ligt nog volledig open.
Kortom, de gemeente eist een resultaat, maar kan niet uitleggen hóe, wannéér, en tegen welke prijs dit gerealiseerd moet worden. Dit getuigt van een volstrekt gebrek aan regie en voorbereiding.
Verwarring en Communicatiechaos
Uit de berichtgeving blijkt een ernstig communicatieprobleem. De ene keer heet Krommenie een “pilot”, de andere keer een “startgebied”. Een gemeentelijke vertegenwoordiger bleek tijdens een bijeenkomst niet eens op de hoogte van een eerdere, chaotische avond georganiseerd door de Dorpsraad. Dit wekt de indruk van een slecht geïnformeerde en intern versnipperde organisatie. De kritische geluiden van inwoners, zoals Fred Jak die aangeeft “niets nieuws gehoord” te hebben, worden hiermee helaas bevestigd. Het gevoel overheerst dat bewoners worden meegenomen in een proces zonder duidelijke weg naar het einddoel.
Onze Conclusie: Een Onverantwoord Avontuur
Democratisch Zaanstad concludeert dat de aanpak van de warmtetransitie in Krommenie onvoldoende is doordacht. Het is onverantwoord om een wijk aan te wijzen als startgebied zonder dat de fundamenten van het plan – de techniek, de planning en de financiering – op orde zijn.
De gemeente Zaanstad lijkt te verwachten dat burgers blind vertrouwen hebben in een route waarvan de belangrijkste markeringen ontbreken. Wij vinden dit onacceptabel. Een transitie van deze omvang vereist transparantie, zekerheid en een realistische planning. Alles wat de gemeente nu biedt, is onzekerheid en een beroep op het geduld van haar inwoners.
Wij zullen de ontwikkelingen in Krommenie dan ook scherp in de gaten houden en blijven hameren op de noodzakelijke concrete antwoorden waar de inwoners recht op hebben. De belasting van de burger mag niet onevenredig groot zijn in dit volstrekt onduidelijke avontuur.
Milieu, duurzaamheid, ruimtelijke en gebiedsontwikkeling
Onveiligheid in Kreekrijk vraagt om daadkracht, niet om uitleg over riolering
Bewoners van Kreekrijk in Assendelft uiten hun frustratie over verkeersonveiligheid en straatcriminaliteit. Tijdens een bewonersavond voelden zij zich niet gehoord door de gemeente, die sprak over riolering in plaats van veiligheid. Lees hoe Democratisch Zaanstad dit aankaart.

Tijdens een drukbezochte bewonersavond in de wijk Kreekrijk (Assendelft) hebben ruim 120 bewoners hun zorgen en ongenoegen geuit over de toenemende verkeersonveiligheid en overlast door straatcriminaliteit.
Wat bedoeld was als een informatieve bijeenkomst over de stand van zaken in de wijk, mondde uit in een avond vol frustratie — vooral omdat de aanwezige vertegenwoordigers van de gemeente geen antwoorden konden geven op de vragen die bewoners werkelijk bezighouden.
Bewoners voelen zich niet gehoord
Vanuit de gemeente waren enkele projectmanagers aanwezig, die voornamelijk spraken over de herinrichting van de wijk en de vervanging van de riolering. Hoewel dit belangrijke onderwerpen zijn, ervoeren veel bewoners het als pijnlijk dat er geen enkele wethouder aanwezig was om inhoudelijk in te gaan op de zorgen over verkeersveiligheid, overlast en criminaliteit.
“Bewoners kwamen om te praten over veiligheid, maar kregen uitleg over buizen,” zegt Democratisch Zaanstad fractie-assistent Dennis Zuidam. “Dat past in een zorgwekkend patroon waarin inwoners van Zaanstad zich onvoldoende gehoord voelen door hun eigen bestuur.”
Zorgen over verkeersveiligheid en straatoverlast
Volgens omwonenden spelen er in Kreekrijk meerdere problemen tegelijk: gevaarlijke verkeerssituaties, hardrijdend verkeer in woonstraten en een toename van overlast door groepen jongeren. Inwoners spreken van een groeiend gevoel van onveiligheid. “Onze kinderen durven niet meer alleen naar buiten,” aldus een bewoner tijdens de avond.
Democratisch Zaanstad stelt vast dat de gemeentelijke focus op fysieke inrichting — zoals riolering en straatindeling — onvoldoende aansluit bij de sociale en veiligheidsproblemen die bewoners dagelijks ervaren.
Oproep aan het college: kom in gesprek met de wijk
Wat er in Kreekrijk gebeurt, is een signaal voor de hele stad. Als inwoners zich niet gehoord voelen over iets basaals als veiligheid, dan schiet de gemeente tekort in haar belangrijkste taak: zorgen voor een veilige en leefbare woonomgeving.”
Voor de bewoners is de boodschap helder: de wijk heeft geen behoefte aan technische toelichting, maar aan daadkracht, veiligheid en bestuurlijke betrokkenheid.
Democratisch Zaanstad zal de situatie in Kreekrijk aankaarten in de gemeenteraad en het college oproepen om de veiligheidsproblemen en communicatie met bewoners structureel te verbeteren.
Milieu, duurzaamheid, ruimtelijke en gebiedsontwikkeling
Belangenverstrengeling windturbines en gevolgen voor Zaanstad
Democratisch Zaanstad eist opheldering over mogelijke belangenverstrengeling bij windturbineprojecten. Na onthullingen in Amsterdam stelt de fractie kritische vragen over integriteit, een oneerlijke lastenverdeling en druk vanuit de Metropoolregio. Lees de 13 vragen van raadslid Kerkhoven

Democratisch Zaanstad eist opheldering over windturbines en mogelijke belangenverstrengeling
Na onthullingen in De Telegraaf over mogelijke belangenverstrengeling bij een omstreden windturbineproject in Amsterdam, heeft de fractie van Democratisch Zaanstad schriftelijke vragen gesteld aan het college van burgemeester en wethouders. De partij wil weten of er vergelijkbare risico’s spelen in Zaanstad en hoe de gemeente omgaat met de verdeling van lasten en lusten rond windenergie.
Aanleiding is het bericht dat de Amsterdamse wethouder Duurzaamheid Zita Pels (GL) 95.000 euro subsidie toekende aan een windturbineproject waar haar voorganger Marieke van Doorninck (GL) nu bij betrokken is. De Amsterdamse oppositiepartijen VVD en JA21 spreken van “schijn van belangenverstrengeling” en eisten een spoeddebat.
Democratisch Zaanstad maakt zich zorgen over de bestuurlijke integriteit en de vraag of Zaanstad onevenredig zwaar belast wordt met windturbines die Amsterdam zelf niet wil. Raadslid Jos Kerkhoven diende dertien kritische vragen in, uiteenlopend van bestuurlijke ethiek tot de verdeling van geluidsoverlast en subsidiegelden.
Enkele hoofdvragen:
· Integriteit en afkoelperiode: Wordt in Zaanstad een vergelijkbare ‘afkoelperiode’ voor oud-bestuurders gehanteerd als in Amsterdam? En kan het college uitsluiten dat bij Zaanse windturbinebesluiten sprake was van belangenverstrengeling?
· Oneerlijke lastenverdeling: Moest Zaanstad locaties accepteren die Amsterdam zelf afwees? En zijn de lusten (subsidies, energie) eerlijk verdeeld?
· Druk vanuit de Metropoolregio: Is er bestuurlijke druk uitgeoefend om windturbines in Zaanstad te plaatsen tegen de zin van inwoners?
De fractie vraagt ook hoe de bezwaren van Zaanse inwoners zijn meegewogen en of Zaanstad voldoende opkwam voor haar belangen in regionaal overleg.
“We willen helderheid over hoe dit allemaal zit”, aldus Kerkhoven. “Zaanstad mag niet het achterland worden van Amsterdam. De energietransitie moet eerlijk verlopen, zowel bestuurlijk als maatschappelijk.”
Het college wordt geacht binnen enkele weken antwoord te geven.
Hierbij de ingediende vragen :
Schriftelijke vragen Belangenverstrengeling windturbines en gevolgen voor Zaanstad
Geacht college,
Naar aanleiding van berichtgeving d.d. 29 augustus jl. in De Telegraaf over mogelijke belangenverstrengeling rond windturbineprojecten in Amsterdam, stelt de fractie van Democratisch Zaanstad de volgende vragen.
Integriteit en bestuurlijke regels
1. Is het college bekend met het bericht dat een voormalig Amsterdamse wethouder circa €100.000 ontving van haar opvolger in verband met windturbineprojecten?
2. Hoe beoordeelt het college deze casus in het licht van integriteit, voorbeeldfunctie en de bestuurlijke geloofwaardigheid van de energietransitie?
3. Hanteert Zaanstad een vergelijkbare ‘afkoelingsperiode’ voor (oud-)bestuurders zoals in Amsterdam geldt? Zo ja, hoe ziet deze eruit? Zo nee, acht het college dit wenselijk?
4. Kan het college uitsluiten dat bij de besluitvorming over windturbines in Zaanstad sprake is geweest van (de schijn van) belangenverstrengeling?
Windturbines: lasten voor Zaanstad
5. Klopt het dat Zaanstad locaties voor windturbines heeft moeten accepteren die door Amsterdam zelf zijn afgewezen?
6. Kan het college inzichtelijk maken welke afspraken exact zijn gemaakt tussen Amsterdam, Zaanstad en de Metropoolregio Amsterdam (MRA) over de verdeling van windturbines?
7. In hoeverre had Zaanstad destijds werkelijk de mogelijkheid om zelf keuzes te maken, of werden de turbines feitelijk ‘in de maag gesplitst’ door regionale afspraken?
Gelijke behandeling en verdeling van lusten en lasten
8. Hoe beoordeelt het college de balans van lusten en lasten tussen Amsterdam en Zaanstad in dit dossier?
9. Heeft Zaanstad onevenredig veel lasten (geluidsoverlast, horizonvervuiling, gezondheidsrisico’s) gekregen, terwijl baten zoals energieopbrengst en subsidies elders terechtkomen?
10. Is er bestuurlijke druk uitgeoefend door Amsterdam of de MRA om in te stemmen met locaties die Zaanstad niet wenste?
Inwoners en participatie
11. Hoe zijn de belangen en bezwaren van Zaanse bewoners destijds meegewogen, zeker nu blijkt dat Amsterdam zelf weerstand in eigen stad wist tegen te houden?
12. Vindt het college dat Zaanstad in regionale besluitvorming voldoende voor de eigen inwoners is opgekomen?
13. Hoe gaat het college ervoor zorgen dat Zaanstad niet opnieuw de ‘opvangplaats’ wordt voor beleid dat Amsterdam zelf niet wil uitvoeren?Namens de fractie van Democratisch Zaanstad,
Jos Kerkhoven Raadslid
Milieu, duurzaamheid, ruimtelijke en gebiedsontwikkeling1 maand geledenOnveiligheid in Kreekrijk vraagt om daadkracht, niet om uitleg over riolering
ZaanZappen met Johan Philips2 maanden geledenVolslagen idioot
Onderwijs, jeugd en zorg2 maanden geledenJeugdzorg verdient samenwerking, niet polarisatie
Nieuws2 maanden geledenCollege Zaanstad geeft één potsierlijk antwoord op 15 kritische vragen.
Wonen, vastgoed, buitenruimte, bereikbaarheid2 maanden geledenGeen apart parkeerbeleid voor groepen inwoners die in de knel komen
ZaanZappen met Johan Philips2 maanden geledenIets zinnigs doen
Bestuur en financiën1 maand geledenDZ eist respect en transparantie !
Nieuws2 weken geledenDemocratisch Zaanstad (DZ) blijkt roepende in de woestijn die gelijk kreeg























